Contact
Cancellations
Podcasts
Wheel-N-Deal
Morning Spin
Grapevine
Facebook
Twitter
Instagram
You Tube
Email
Westwood One Sports Network Overnights
Every night 1 am to 5 am!
The Ramsey Show
Weekdays 3 pm to 5 pm!
Jill on Money with Jill Schlesinger
Saturday 3 pm to 5 pm!
Off the Record with Nik Carter
Sunday 12 am to 1 am!
Dan Patrick Show
Weeknights 6 pm to 9 pm!
Rich on Tech with Rich Demuro
Weekends 5 pm to 8 pm!
Our American Stories with Lee Habeeb
Weeknights 9 pm to 11 pm!
America Tonight with Kate Delaney
Weeknights 11 pm to 1 am!
Hollywood 360
Sunday Night 8 pm to 1 am!
Jim Brickman Show
Saturday Night 8 pm to 12 am!
America in the Morning with John Trout
Weekdays 5 am to 6 am!
Homecoming Radio with Bill Gaither
Sunday 6 am to 7 am!
Intelligence for Your Health with Connie Sellecca
Saturday 1:30 pm to 3 pm!
Intelligence for Your Life with John Tesh
Weekdays 10 am to 3 pm!
About
Advertise With Us
Contact Us
Contest Rules
Rastrelli’s Grapevine
Lost & Found
KROS Radio Streaming
KROS Public File/EEO Report
RSS Feed
News
KROS 5 PM Newshour
KROS Archives
FYI
City Watch
Radio Iowa News
CBS News Radio
Weather
WQAD Forecast
WQAD Radar
Sports
Sports Broadcast Calendar
Sports Broadcast List
Sports Podcasts
Clinton High Athletics
Iowa Boys Athletic Association
Iowa Girls Athletic Association
Iowa Hawkeye Sports
Westwood One Sports
Westwood One Sports Network
Schedule
Weekday Schedule
Saturday Schedule
Sunday Schedule
Programs
America in the Morning
Wheel-N-Deal Show
John Tesh Radio Show
The Ramsey Show
Dan Patrick Show
Our American Stories
America Tonight Show
Westwood One Sports Network
Great Green Garden Show
Eye on Travel Show
Connie Sellecca Show
Jill on Money Show
Rich on Tech Show
Jim Brickman Show
Off The Record
Homecoming Radio
Bill Quinn Radio Hour X2!
Seems Like Old Times
Hollywood 360
Community
Rastrelli’s Grapevine
Community Calendar View
Community Calendar List
Calendar Submit Form
Search for:
Search
Home
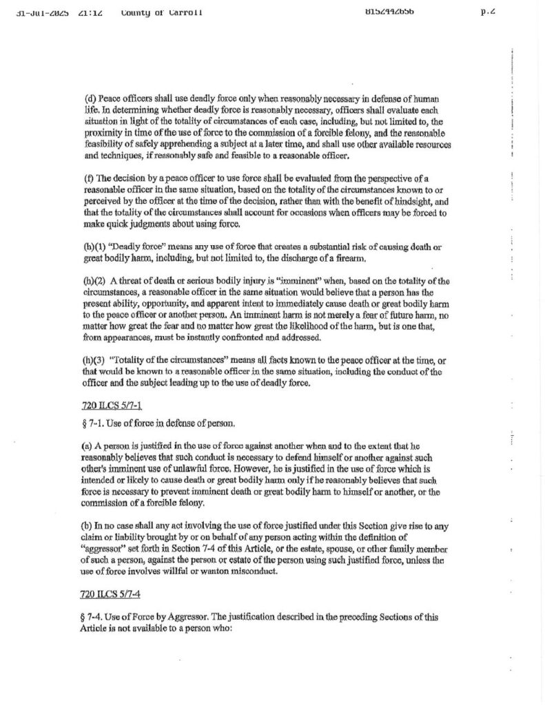
Police Involved Shooting Decision Memorandum
Police Involved Shooting Decision Memorandum
August 1, 2025
Paul Dymkowski
KROS News
Recent Posts
EICC names Michael Beane, EdD, vice chancellor of student services
April 23, 2026
Clinton Hy-Vee Celebrates Earth Day by Opening Community Garden
April 23, 2026
Morrison Water Tower to Undergo Scheduled Maintenance Beginning May 1
April 23, 2026
Community Help Needed – Missing Adult
April 21, 2026
Clinton High School 2026 Hall of Honor Induction Luncheon Friday
April 21, 2026
Whiteside County Bat Tests Positive for Rabies
April 17, 2026
About Paul Dymkowski
Paul has been the Program Director since 1991. You can hear Paul on-air weekdays at 9:30 am as host of Wheel-N-Deal and Saturday Mornings from 6 to 9 am as host of the Paul Dymkowski Show .
View all posts by Paul Dymkowski →